链表(指单链表)是一个由头部节点引导的,通过节点指针连接在一起的数据结构,它的形状如下:

链表中的节点代码定义如下:
class ListNode:def __init__(self, val=0, next=None):self.val = valself.next = next
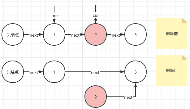
相对于线性表,链表的优势在于快速的插入和删除中间的元素(这里要说明的是,如果是对于尾部元素的插入与删除,线性表其实比链表要快),两者的删除操作如下图所示:
顺序表删除:

链表删除:

是不是发现链表删除以后2的next仍然指向3,看起来和链表内部似乎还有联系?但是从逻辑上我们已经无法通过遍历的方式在链表中查找到2了,所以2已经算是被删除了
head为链表的头节点cur=head //我们创建一个cur引用指向头节点
//只要链表当前值不为空
while (cur!=null){//具体操作
...//移动cur指针cur=cur.next
}
可以看到,我们这里创建了一个cur引用指向了head,为什么不直接使用head进行遍历呢?对于一个存储1,2,3,4的链表,它的形状如下,head指针最开始是指向1的

如果我们直接使用head指针进行遍历操作,遍历操作完以后链表情况如下,我们发现head指向了空节点,如果我们还想对当前链表进行遍历操作怎么办呢?此时已经无法从头开始遍历查找了,因为head已经指向了空

而如果使用cur指针,我们遍历完以后,链表的形状是这样的,这次是cur指向空,而head依旧还指向头节点,我们依然可以进行遍历操作:

删除某个节点我们在上面已经画过图了,这里直接贴下来,其实一行代码就可以达到一下的效果,pre.next=cur.next, 删除的对象是2,pre代表删除对象的前一个对象,是不是被这些next绕晕了,我们来分析一下, =号左边是进行赋值的域,也就是我们要对pre的next指针进行赋值操作,在这个例子中我们要对1的next进行赋值操作,而=号的右边是要附上的值,cur.next代表的是3这个节点

所以我们需要先找到待删除节点的前一个节点,其实我们也不需要用到cur指针,而是采用pre.next来代替cur指针的使用,代码如下:
cur = head
//注意看循环条件,因为我们在循环中使用了cur.next
//为了避免空指针异常,while条件中也不能写cur!=null
while(cur.next!=null){//cur.next为目标删除节点,那么cur是否就是pre了if(cur.next==target){//注意看这里cur现在是pre//等号右边的cur.next是否就是我们分析的cur//这个代码是否就等价于pre.next=cur.nextcur.next=cur.next.next}cur=cur.next
}
思考一下,如果链表过短的话,cur.next.next操作是否会引发空指针呢?
答案是不会哈,空指针异常的发生条件是当一个对象本来就是空,我们还要继续访问它的一些属性,也就是我们访问了null.null才会导致空指针,而我们的循环条件是cur,next!=null,这就保证了我们至少访问的是value.null,这个操作时不会导致空指针滴
插入节点与删除某个节点类似都需要找到待操作位置的前一个节点,其伪代码如下:
定义insert为待插入节点
pre为插入位置的前置节点insert.next=pre.next
pre.next=insert
思考一下这两行代码能否反过来写呢?答案是不行的嗷,例子如下对于1,3,4这个链表,如果我们要在中间插入2这个节点,若先执行pre.next=insert会发生什么呢?

先执行pre.next=insert语句,=号左边对1节点的next域进行赋值, 即1.next=2
而后执行insert.next=pre.next语句,pre依旧指向1,我们要对2.next这个域进行赋值,本来进行插入操作insert.next应该被赋值为3才对,而现在由于pre.next被我们覆盖替换为了1,导致了2.next=1,形成了链表环路

基础操作熟悉了,现在就要开始上强度了,看看链表题有什么骚操作吧
题目链接

我们先理一下思路,看看怎么操作才能把整个链表反过来,用画图来表示的话应该是这样式的:
反转链表:
pre cur next1 -> 2 -> 3 -> 4 -> 5pre cur next1 <- 2 3 -> 4 -> 5pre cur next1 <- 2 <- 3 4 -> 5pre cur next1 <- 2 <- 3 <- 4 5pre cur next 1 <- 2 <- 3 <- 4 <- 5pre cur next 1 <- 2 <- 3 <- 4 <- 5
试着根据这个图来还原一下代码吧:
class Solution:def reverseList(self, head: ListNode) -> ListNode:pre, cur = None, headwhile cur:nxt = cur.next # 记录当前节点的下一个节点cur.next = pre # 然后将当前节点指向prepre = cur # pre和cur节点都前进一位cur = nxtreturn pre
题目链接

第一种简单的思路是,先通过遍历一次,找到链表有多少个节点,然后再遍历一次找到链表的中点进行返回,其代码如下:
class Solution:def middleNode(self, head: ListNode) -> ListNode:n, cur = 0, head"""第一次遍历"""while cur:n += 1cur = cur.next"""第二次遍历"""k, cur = 0, headwhile k < n // 2:k += 1cur = cur.nextreturn cur
第二种思路比较难想到啦,但是是必须要掌握的一个方法,我们运用两个指针slow和fast,slow每次走一步,fast每次走两步,当fast走到结尾的时候,slow是否就刚好到了中点的位置呢?通过这个方法我们可以通过一次遍历就找到链表的中点
class Solution:def middleNode(self, head: ListNode) -> ListNode:slow = fast = headwhile fast and fast.next:slow = slow.nextfast = fast.next.nextreturn slow
注意注意:
这里对于偶数我们返回的是两个节点中的后一个节点,循环里写的条件是fast and fast.next不为空,如果我们要返回两个节点中的前一个节点循环条件该如何写呢?
答案是 while fast.next and fast.next.next 羊羊可以自己举个例子还原一下
题一和题二都是链表题中必须掌握的操作哦,因为有时他们还能打出梦幻的combo,比如下面这题:
题目链接

回文是力扣题的一个常用概念,例如12344321这样的对称的数被称为回文的数字串,那么如何检查一个链表是否是回文链表呢,先思考一下,如何利用题一和题二来解决
先自己写再看最后的答案哦
class Solution:def isPalindrome(self, head: ListNode) -> bool:if head is None:return True# 找到前半部分链表的尾节点并反转后半部分链表first_half_end = self.end_of_first_half(head)second_half_start = self.reverse_list(first_half_end.next)# 判断是否回文result = Truefirst_position = headsecond_position = second_half_startwhile result and second_position is not None:if first_position.val != second_position.val:result = Falsefirst_position = first_position.nextsecond_position = second_position.next# 还原链表并返回结果first_half_end.next = self.reverse_list(second_half_start)return result #找到链表的中点,如果为偶数是找前一个def end_of_first_half(self, head):fast = headslow = headwhile fast.next is not None and fast.next.next is not None:fast = fast.next.nextslow = slow.nextreturn slow#翻转链表def reverse_list(self, head):previous = Nonecurrent = headwhile current is not None:next_node = current.nextcurrent.next = previousprevious = currentcurrent = next_nodereturn previous